「微分積分なんて実生活で使えないでしょ」→使えるんです!郵送時に《レターパックプラスに詰め込める限界量》を「微分」で見極めてみる
「レターパックプラス」に入る限界量はどれくらい?
郵便局に「レターパックプラス」というサービスがあるのをご存じでしょうか。専用封筒に入るものなら均一料金で全国どこにでも配達してくれる、というものです。
では、その専用封筒に入れることができる限界量はどれくらいなのでしょうか。レターパックプラスで郵送できる限界を、微分を使って求めてみましょう。
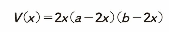
ちなみに、このパックの重量制限は4kgです。専用封筒は248mm×340mm(A4ファイルサイズ)ですが、数学らしく、a×b(a<b)としておきましょう。
封筒は、最初は平べったいですが、ものを入れるとその端っこが「高さ」として使われます。ここでは使われた「高さ」分をxとします。封筒の体積Vはxによって増減するので、これをV(x)と書くと、
となります。この封筒にどこまでものが入るか、というのは、V(x)の最大値はいくらか、ということです。





















無料会員登録はこちら
ログインはこちら