「微分積分なんて実生活で使えないでしょ」→使えるんです!郵送時に《レターパックプラスに詰め込める限界量》を「微分」で見極めてみる
式をゴリゴリ変形する前に、このV(x)が妥当かどうかを検討しましょう。x=0(つまり、高さゼロ)では、縦横はaとbでx=0なのでVは0。そこから少し大きくなると、Vは少しずつ大きくなっていきますが、2分のaに近くなってくると(a−2x)がゼロに近くなってくるので、Vは小さくなっていきます。つまり、この間に最大となる「ひと山」があるはずです。その山の頂上はどこでしょうか。
ほしい頂上の位置
頂上は、上りが下りに変わるところなので、傾きで言えばゼロになるところです。3次関数のグラフはたいてい2つの頂上があります(2つ目は頂上というより谷底ですが)。微分して=0とした2次方程式の解2つのうち、1つ目の解が、ほしい頂上の位置です。
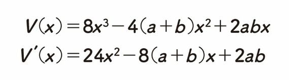
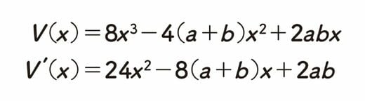
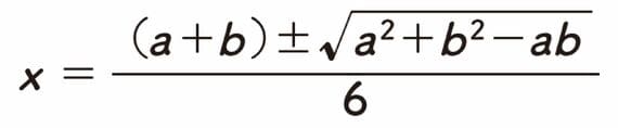
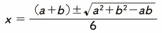
V′(x)=0になるxを探す、というのは、2次方程式を解けばいい※1ので、解いてみると、
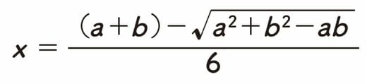
このうち1つ目の解というのは、小さいほうのことなので、±のうち−のほうになります。
したがって、頂上の位置は、
ということになります。これにa=248mm、b=340mmを代入して計算すると、x=47.2mmが得られるので、そのときの体積は3561cm3≒3.5リットルとなるのです。



















無料会員登録はこちら
ログインはこちら