出題ミスに関わる部分のみを抜き出すと、この部分になります。

わかりやすくなるように、(1) で問われている、A_6 を求めるための図を示してみました。

このような図が書ければ(1)は比較的簡単に解くことができます。実際、黒丸の数を数えることで、「A_6=8」とわかります。ここまでわかれば、丁寧に計算を進めることで、(2) に関しても同じように解くことができます。

ここまでは、理科大を目指す学生であれば大体の人が解けるレベルの問題です。
ミスがあったのはここから
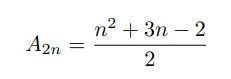
しかし、ミスがあったのはここからです。(4) は、(2) までで求めた値を用いて、計算を実行する問題です。具体的には、下記の式を計算すれば良いのです。

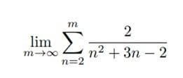
しかし、実はこれ、受験生にとって、一見すると計算できそうでも、実際には計算できない値なのです。 後ほど詳しく解説しますが、おそらく出題者は、こういう計算をさせたかったのではないかと考えられます。

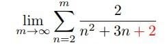
この値であれば、「部分分数分解」という手法を用いることで、受験生でも求めることができます。高校数学の中でも比較的オーソドックスな手法なので、これであれば何の問題もなかったのですが、しかしこうはなりません。
この2つの数式を見比べたときに違っているのは、分母の最後が「−2 」なのか 「+2 」なのか、という部分だけです。この違いを即座に理解して「この問題では部分分数分解は使えない!だから出題ミスだ!」と思えた受験生はほとんどいないと思われます。
次ページが続きます
