記事に戻る
「数に強い東大生」が子供のころ遊んだ計算ゲーム 「4つの4」と「四則演算」で「1~5」を作ってみようの写真一覧
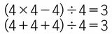
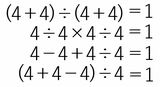
「4つの4」と四則演算だけで、1から5までの数字を作る——そんな一風変わった算数遊びが、東大生の“数字のセンス”や“地頭力”の原点だった?計算式で遊ぶことで得られる思考力や応用力。その秘密と楽しみ方を探ります。
※上記のリード文はAIが作成しました
関連記事
本文の内容に基づいた記事をピックアップしています
にしおか いっせいIssei Nishioka
この著者の記事一覧
1996年生まれ。偏差値35から東大を目指すも、現役・一浪と、2年連続で不合格。崖っぷちの状況で開発した「独学術」で偏差値70、東大模試で全国4位になり、東大合格を果たす。
そのノウハウを全国の学生や学校の教師たちに伝えるため、2020年に株式会社カルペ・ディエムを設立。全国の高校で高校生に思考法・勉強法を教えているほか、教師には指導法のコンサルティングを行っている。また、YouTubeチャンネル「スマホ学園」を運営、約1万人の登録者に勉強の楽しさを伝えている。
著書『東大読書』『東大作文』『東大思考』『東大独学』(いずれも東洋経済新報社)はシリーズ累計40万部のベストセラーになった。
